Specialist Private Tutors for 11+, GCSEs & A-Levels
  • Revision
  • Contact
  • Tutoring
  • Reviews
Sign in

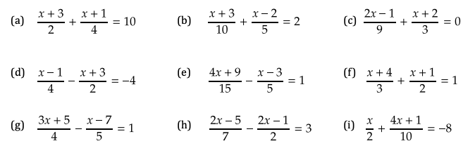
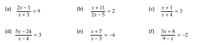
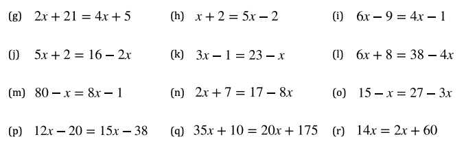
GCSE Maths | Solving Equations

Last updated on  23 Jul 2025

Question 1

Question 2

Question 3

Question 4

Question 5

Question 6

Question 7

Previous GCSE Maths | Indices
Next A-Level Economics Notes & Examples | All Exam Boards
Specialist Private Tutors for 11+, GCSEs & A-Levels © 2026
  • Terms and Conditions
  • Privacy Policy
Powered by Ghost