GCSE Maths | Indices
Power of 2
- 12 = 1
- 22 = 4
- 32 = 9
- 42 = 16
- 52 = 25
- 62 = 36
- 72 = 49
- 82 = 64
- 92 = 81
- 102 = 100
- 112 = 121
- 122 = 144
Power of 3
- 13 = 1
- 23 = 2 x 2 x 2 = 8
- 33 = 3 x 3 x 3 = 27
- 43 = 64
- 53 = 125
- 103 = 1000
Power of 4
- 14 = 1
- 24 = 2 x 2 x 2 x 2 = 16
- 34 = 3 x 3 x 3 x 3 = 81
Rule 1
- x3 x x5 = x8
- x5/x3 = x2
Question 1

Rule 2
- (x3)2 = x6
Question 2

Question 3

Rule 3
- (4/5)-1 = 5/4
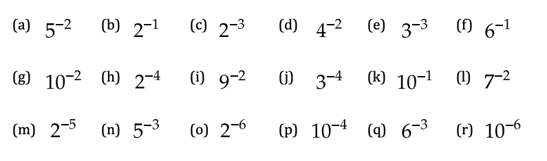
Question 4

Rule 4
- 161/2 = 4 (square root)
- 81/3 = 2 (cube root)
Question 5

Combining Powers and Roots
- 93/2 means square root 9 then cube it
- 82/3 means cube root 8 then square it
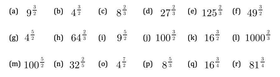
Question 6

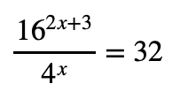
Question 7

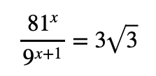
Question 8

Question 9

Question 10

Question 11

Question 12

Question 13
