Specialist Private Tutors for 11+, GCSEs & A-Levels
  • Revision
  • Contact
  • Tutoring
  • Reviews
Sign in

GCSE Maths Test | Rearranging Equations | Edexcel

Last updated on  15 Jul 2025

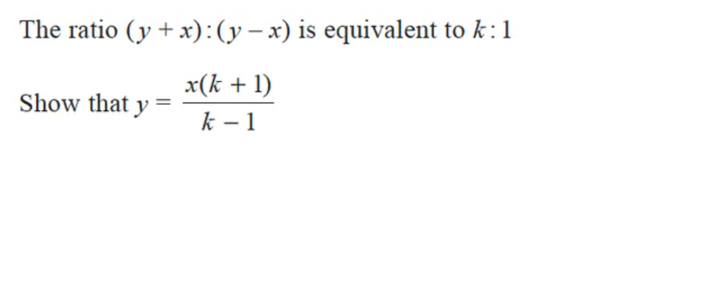
Question 1

Edexcel GCSE Maths Paper 3 June 2017

Question 2

Edexcel GCSE Maths Paper 2 June 2019

Question 3

Edexcel GCSE Maths Paper 1 November 2020

Question 4

Edexcel GCSE Maths Paper 1 June 2023

Question 5

Edexcel GCSE Maths Paper 1 November 2017

Question 6

Edexcel GCSE Maths Paper 3 November 2023
Previous Edexcel A-Level Economics | 25 Mark Question
Next GCSE Maths Test | Angles in Polygons | Edexcel
Specialist Private Tutors for 11+, GCSEs & A-Levels © 2026
  • Terms and Conditions
  • Privacy Policy
Powered by Ghost