GCSE Maths | Algebra
Collecting like terms
Question 1

Question 2

Expanding brackets
Question 3

Question 4

Question 5

Question 6

Question 5
Question 7

Factorising expressions
Question 8

Question 9

Question 10

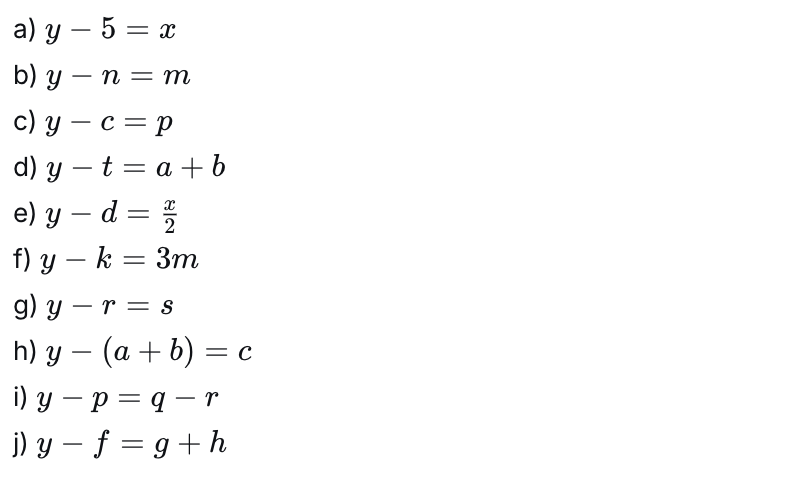
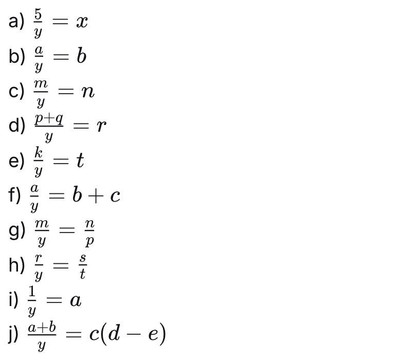
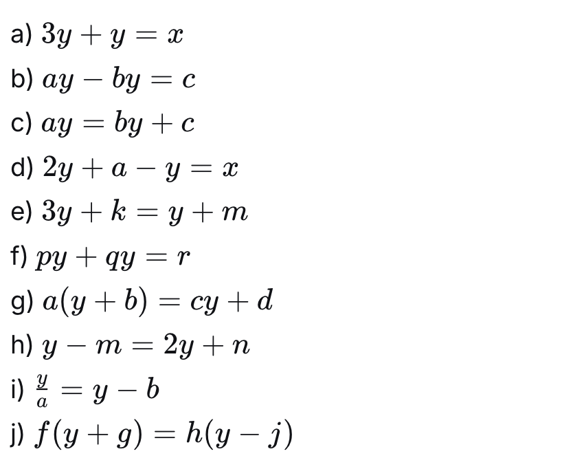
Rearranging equations
Question 11

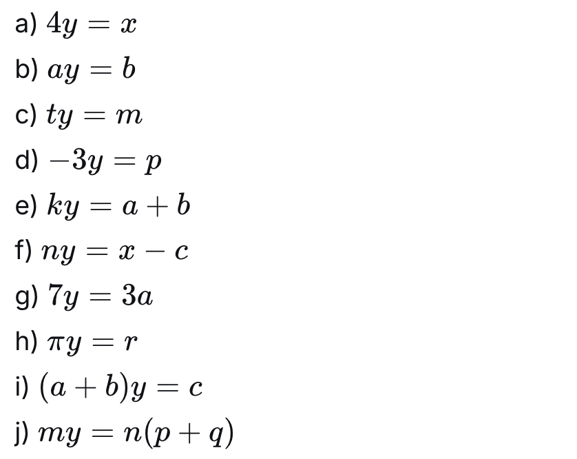
Question 12

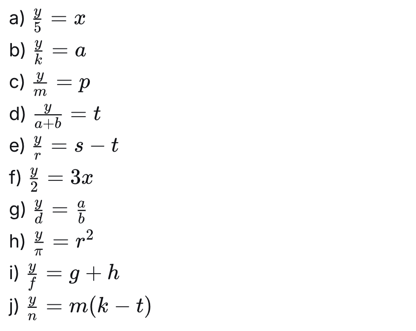
Question 13

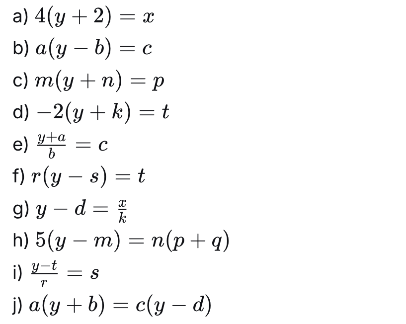
Question 14

Question 15

Question 16

Question 17

Question 18

Question 19
