AS-Level Maths Test | Quadratics | OCR MEI

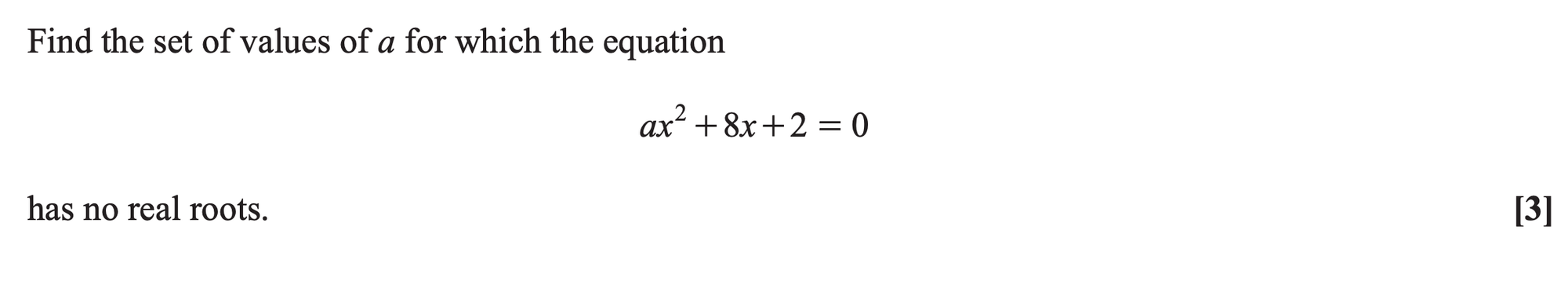
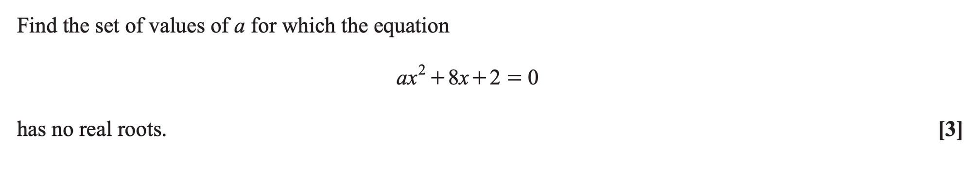
Question 1

OCR MEI AS Level Maths Paper 1 June 2018

Question 2

OCR MEI AS Level Maths Paper 2 June 2018

Question 3

OCR MEI AS Level Maths Paper 1 June 2019

Question 4

OCR MEI AS Level Maths Paper 1 June 2022

Question 5

OCR MEI AS Level Maths Paper 2 June 2022

Question 6

OCR MEI AS Level Maths Paper 2 June 2023

Question 7

OCR MEI AS Level Maths Paper 2 June 2023

Question 8

OCR MEI AS Level Maths Paper 2 June 2024

Question 9

OCR MEI AS Level Maths Paper 2 June 2024

Question 10

OCR MEI AS Level Maths Paper 2 June 2024

Question 11

OCR MEI AS Level Maths Paper 1 June 2024