AS-Level Maths Test | Differentiation | OCR MEI

Question 1

OCR MEI AS-Level Maths Paper 1 June 2018

Question 2

OCR MEI AS-Level Maths Paper 2 June 2018

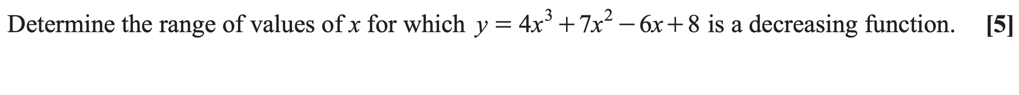
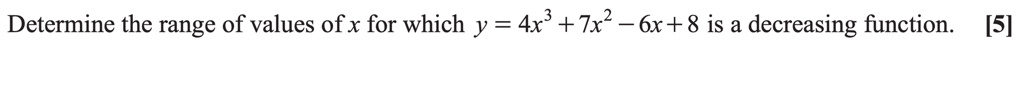
Question 3

OCR MEI AS-Level Maths Paper 1 June 2019

Question 4

OCR MEI AS-Level Maths Paper 1 June 2019

Question 5

OCR MEI AS-Level Maths Paper 1 June 2020

Question 6

OCR MEI AS-Level Maths Paper 1 June 2020

Question 7

OCR MEI AS-Level Maths Paper 2 June 2020

Question 8

OCR MEI AS-Level Maths Paper 1 June 2021

Question 9

OCR MEI AS-Level Maths Paper 2 June 2021

Question 10

OCR MEI AS-Level Maths Paper 1 June 2022

Question 11

OCR MEI AS-Level Maths Paper 2 June 2022

Question 12

OCR MEI AS-Level Maths Paper 2 June 2023

Question 13

OCR MEI AS-Level Maths Paper 2 June 2023

Question 14

OCR MEI AS-Level Maths Paper 1 June 2024

Question 15

OCR MEI AS-Level Maths Paper 2 June 2024