A-Level Maths Test | Trigonometry | OCR MEI

Question 1

OCR MEI A-Level Maths Paper 1 June 2018

Question 2

OCR MEI A-Level Maths Paper 1 June 2018

Question 3

OCR MEI A-Level Maths Paper 1 June 2019

Question 4

OCR MEI A-Level Maths Paper 1 June 2019

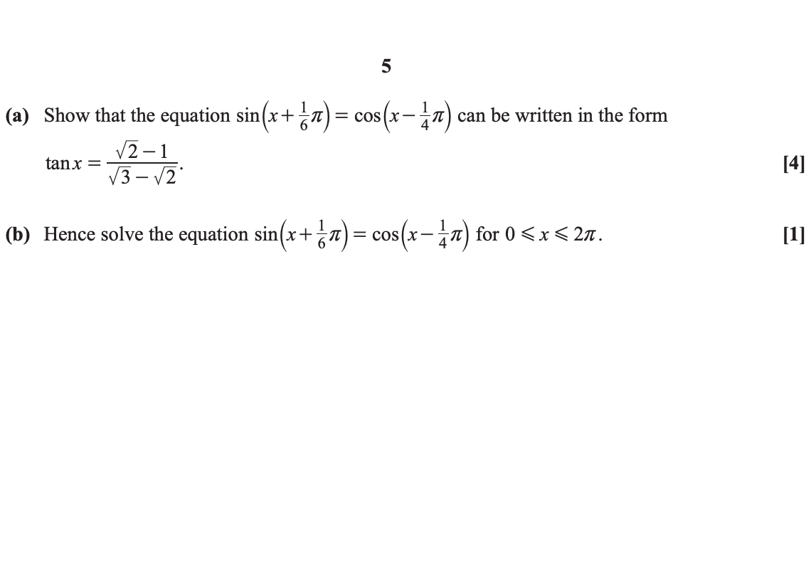
Question 5

OCR MEI A-Level Maths Paper 1 June 2020

Question 6

OCR MEI A-Level Maths Paper 3 June 2021

Question 7

OCR MEI A-Level Maths Paper 2 June 2022

Question 8

OCR MEI A-Level Maths Paper 3 June 2022

Question 9

OCR MEI A-Level Maths Paper 1 June 2023

Question 10

OCR MEI A-Level Maths Paper 1 June 2023

Question 11

OCR MEI A-Level Maths Paper 2 June 2023

Question 12

OCR MEI A-Level Maths Paper 2 June 2023

Question 13