A-Level Maths Test | Integration | OCR MEI
Last updated on
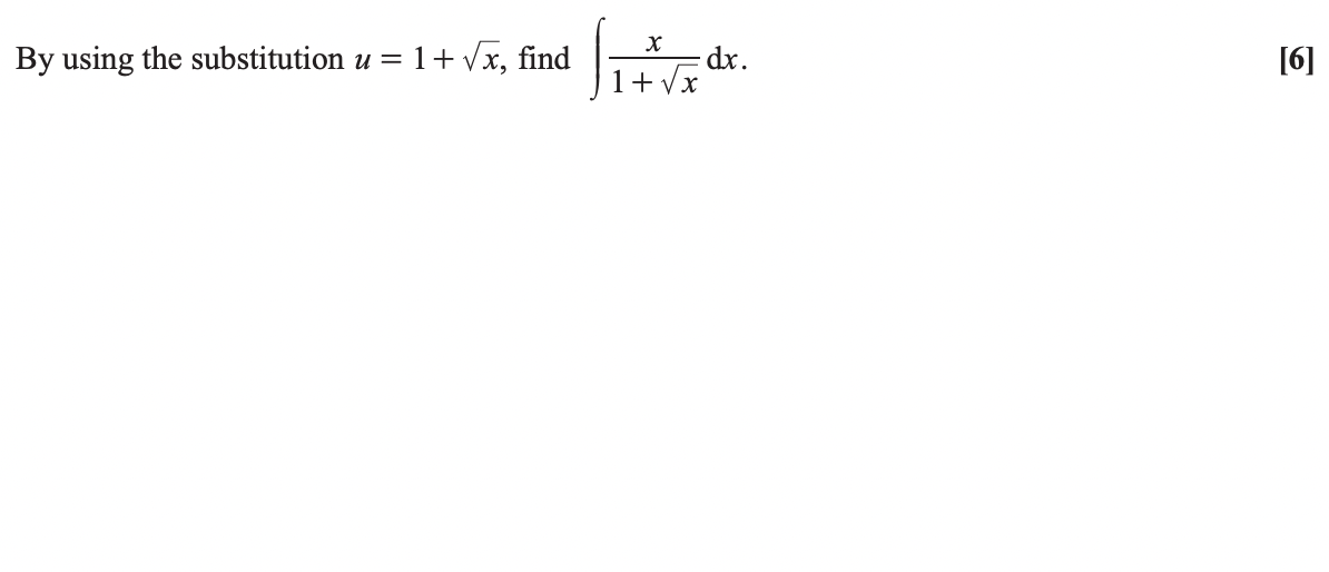
Question 1
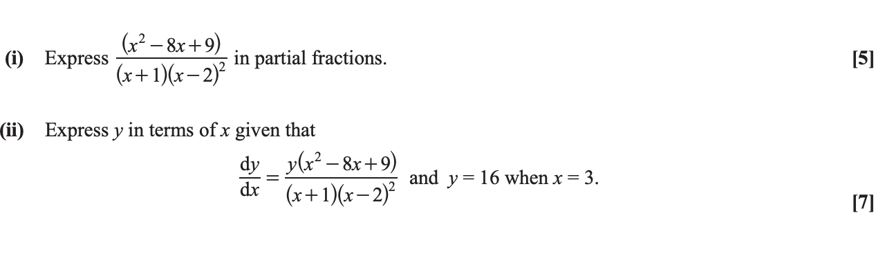
OCR MEI A-Level Maths Paper 1 June 2018Question 2
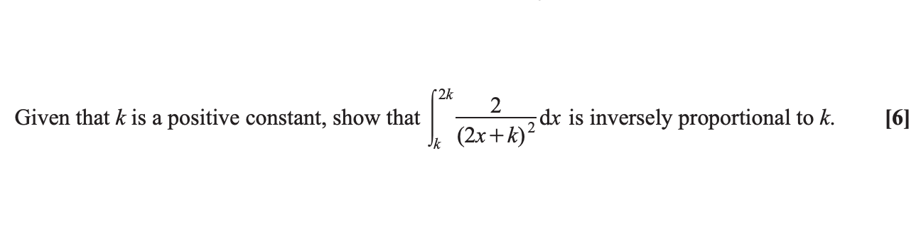
OCR MEI A-Level Maths Paper 1 June 2018Question 3
OCR MEI A-Level Maths Paper 2 June 2018Question 4
OCR MEI A-Level Maths Paper 1 June 2018Question 5
OCR MEI A-Level Maths Paper 1 June 2019Question 6
OCR MEI A-Level Maths Paper 2 June 2019Question 7
OCR MEI A-Level Maths Paper 2 June 2019Question 8
OCR MEI A-Level Maths Paper 2 June 2019Question 9
OCR MEI A-Level Maths Paper 3 June 2019Question 10
OCR MEI A-Level Maths Paper 3 June 2019Question 11
OCR MEI A-Level Maths Paper 3 June 2019Question 12
OCR MEI A-Level Maths Paper 2 June 2020Question 13
OCR MEI A-Level Maths Paper 3 June 2020Question 14
OCR MEI A-Level Maths Paper 3 June 2020Question 15
OCR MEI A-Level Maths Paper 3 June 2020Question 16
OCR MEI A-Level Maths Paper 1 June 2021Question 17
OCR MEI A-Level Maths Paper 2 June 2021Question 18
OCR MEI A-Level Maths Paper 3 June 2021Question 19
OCR MEI A-Level Maths Paper 3 June 2021Question 20
OCR MEI A-Level Maths Paper 3 June 2021Question 21
OCR MEI A-Level Maths Paper 1 June 2022Question 22
OCR MEI A-Level Maths Paper 2 June 2022Question 23
OCR MEI A-Level Maths Paper 3 June 2022Question 24
OCR MEI A-Level Maths Paper 1 June 2023Question 25

Question 26
OCR MEI A-Level Maths Paper 2 June 2023Question 27
OCR MEI A-Level Maths Paper 2 June 2023