A-Level Maths Test | Functions | Edexcel
Last updated on
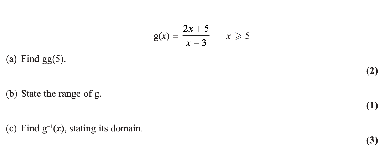
Question 1
Edexcel A-Level Maths Paper 2 June 2018Question 2
Edexcel A-Level Maths Paper 2 June 2018Question 3
Edexcel A-Level Maths Paper 1 June 2019Question 4
Edexcel A-Level Maths Paper 2 June 2019Question 5
Edexcel A-Level Maths Paper 1 June 2020Question 6
Edexcel A-Level Maths Paper 2 June 2020Question 7
Edexcel A-Level Maths Paper 2 June 2020Question 8
Edexcel A-Level Maths Paper 2 June 2020Question 9
Edexcel A-Level Maths Paper 2 June 2020Question 10
Edexcel A-Level Maths Paper 2 June 2021Question 11

Edexcel A-Level Maths Paper 2 June 2021Question 12
Edexcel A-Level Maths Paper 1 June 2022Question 13
Edexcel A-Level Maths Paper 2 June 2022Question 14
Edexcel A-Level Maths Paper 2 June 2022Question 15
Edexcel A-Level Maths Paper 1 June 2023Question 16

Edexcel A-Level Maths Paper 2 June 2023Question 17
Question 18