A-Level Maths Test | Differentiation | Edexcel
Last updated on
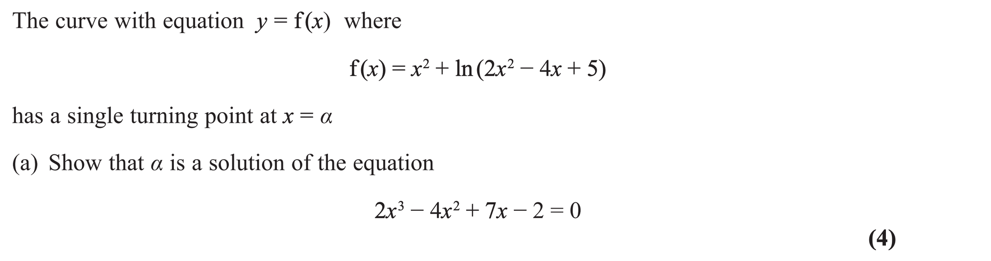
Question 1
Edexcel Paper 1 June 2018Question 2
Edexcel Paper 2 June 2021Question 3
Edexcel Paper 2 June 2019Question 4
Edexcel Paper 1 June 2019Question 5

Question 6
Edexcel Paper 1 June 2018Question 7
Edexcel Paper 2 June 2018Question 8
Edexcel Paper 1 June 2019Question 9
Edexcel Paper 2 June 2020Question 10
Edexcel Paper 1 June 2021Question 11
Edexcel A-Level Maths Paper 1 June 2021Question 12