Specialist Private Tutors for 11+, GCSEs & A-Levels
  • Revision
  • Contact
  • Tutoring
  • Reviews
Sign in

A-Level Maths | Parametric Equations

Last updated on  07 Jun 2025

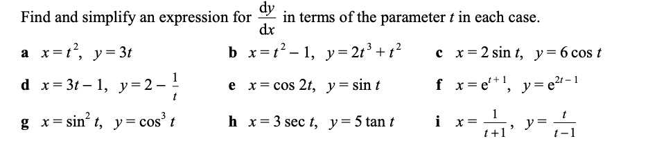
Question 1

Question 2

Question 3

Question 4

  • dy/dx = dy/dt x dt/dx

Question 5

Parametric Integration

  • ∫ y dx = ∫ y (dx/dt) dt

Question 6

Question 7

Question 8

Question 9

Previous Explain how a firm may benefit from both internal and external economies of scale | AQA A-Level Economics Model Answer | 15 marks
Next A-Level Maths | Co-ordinate Geometry
Specialist Private Tutors for 11+, GCSEs & A-Levels © 2026
  • Terms and Conditions
  • Privacy Policy
Powered by Ghost