A-Level Maths | Integration
Last updated on
- ∫ ekx = (1/k) ekx + c
- ∫ sin(kx) = (-1/k) cos(kx) + c
- ∫ cos(kx) = (1/k) sin(kx) + c
- ∫ 1/(kx+c) = (1/k) ln(kx+c) + c
Formula book
Integrating Trig Functions
Question 1

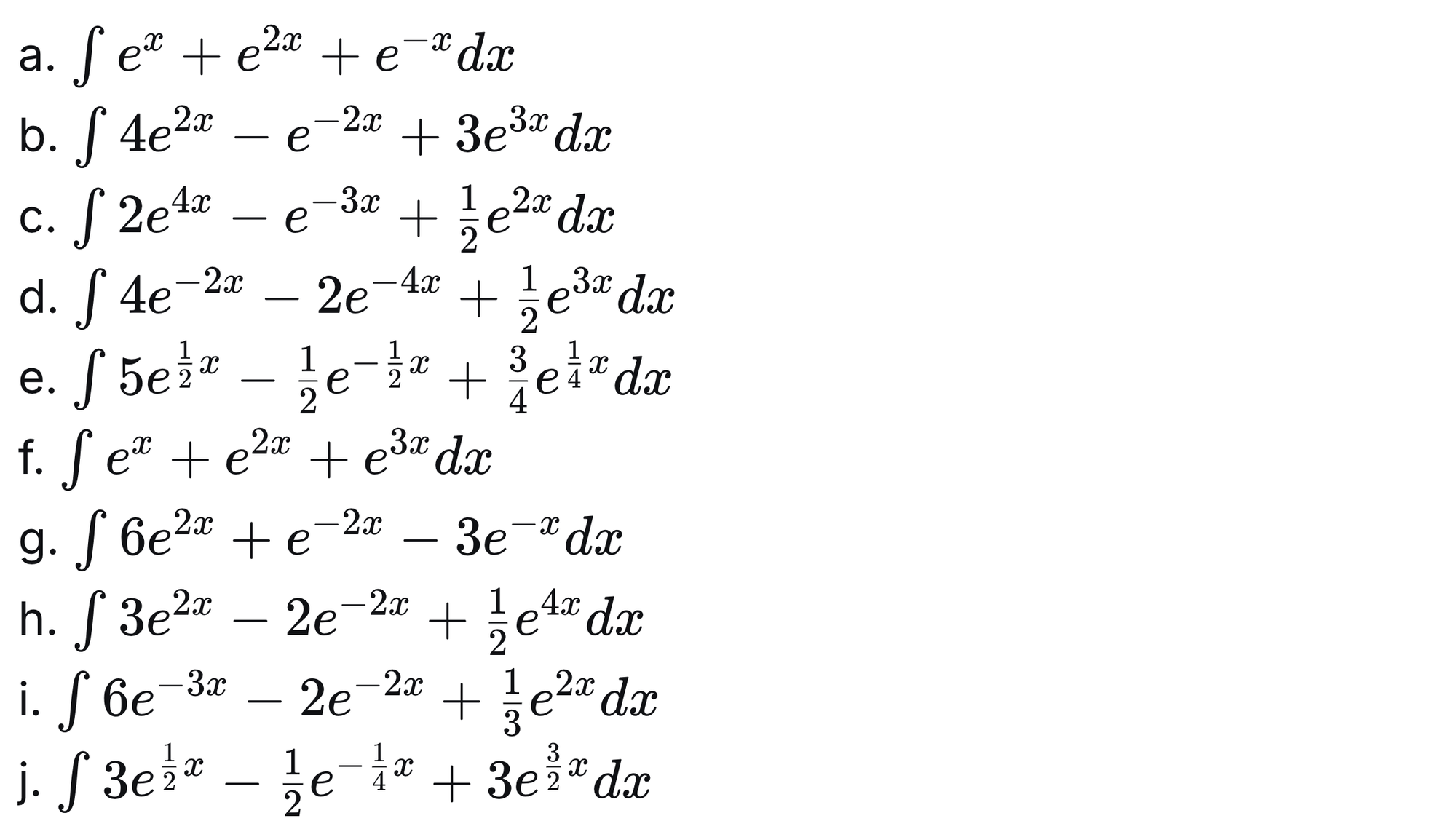
Integrating Exponential and Logarithmic Functions
Question 2

Question 3

Reverse Chain Rule
Question 4

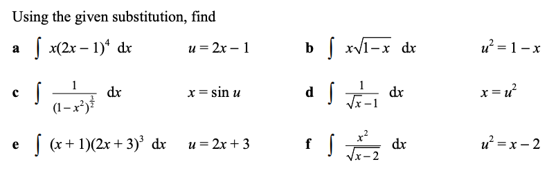
Integration by Substitution (1 step)
Question 5

Integration by Substitution (2 steps)
Question 6

Integration by Substitution (Limits)
Question 7

Integrating with Partial Fractions
Question 8

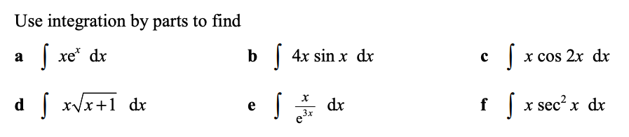
Integration by Parts
Question 9
- ∫uv' = uv - ∫vu'
- LATE (logarithmic, algebraeic, trigonometric, exponential functions)
- whatever comes first is u
- whatever comes last is v'

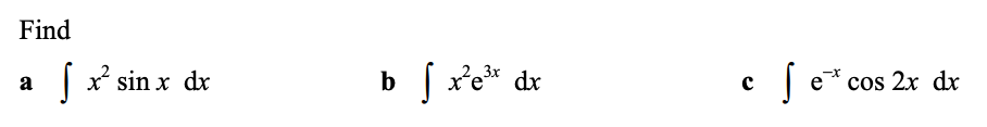
Using Integration by Parts Twice
Question 10

Integration by Parts with Logarithms
Question 11

Integration by Trigonometric Identities
Question 12

All Integration Methods