Specialist Private Tutors for 11+, GCSEs & A-Levels
  • Revision
  • Contact
  • Tutoring
  • Reviews
Sign in

A-Level Maths | Indices

Last updated on  11 Oct 2025

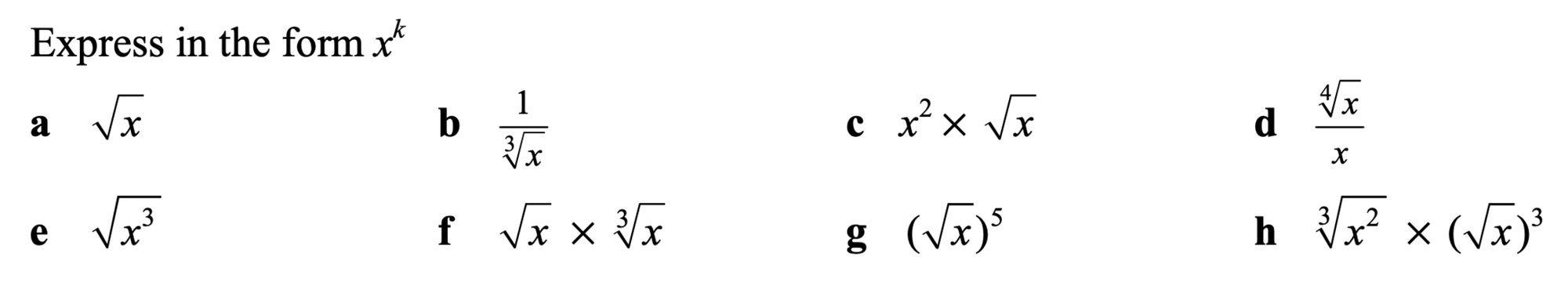
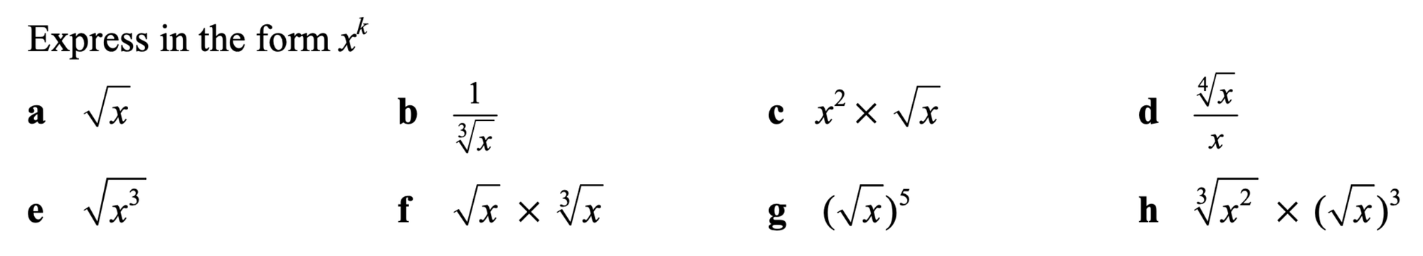
Question 1

Question 2

Question 3

Question 4

Previous A-Level Maths Test | Co-ordinate Geometry | OCR MEI
Next Explain two possible reasons, other than a change in income, for the rise in the price of food over the period shown
Specialist Private Tutors for 11+, GCSEs & A-Levels © 2026
  • Terms and Conditions
  • Privacy Policy
Powered by Ghost